Теплофизические свойства алюминия, олова, цинка в конденсированном состоянии
https://doi.org/10.17073/1609-3577j.met202504.643
Аннотация
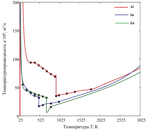
Алюминий и его сплавы являются одними из самых применяемых материалов при производстве технических изделий: от электрических проводов до летательных аппаратов. Разработка новых сплавов алюминия и постоянное расширение области их применения приводит к необходимости разработки единого подхода к теоретическому описанию физических свойств систем с разным числом компонентов и определению влияния металлов на характеристики сплава. Для исследования особенностей теплового поведения алюминиевых сплавов наиболее подходящими являются бинарные системы в силу малой вариантности их составов. Такими сплавами являются, в частности, антифрикционные самосмазывающиеся двухкомпонентные сплавы систем Al-Sn и Al-Zn. Кроме того, в силу существования эффекта наследования сплавом ряда характерных черт компонентов возникает потребность в расчете теплофизических свойств Al, Sn и Zn. В этой связи была проведена аппроксимация массивов экспериментальных данных по температурным зависимостям теплофизических свойств Al, Sn и Zn с использованием функций, полученных в рамках авторской квазидвухфазной модели локально-равновесной области. Особенности на полученных графиках в виде конечных скачков, пиков и ям с округлыми вершинами связаны со структурными превращениями или фазовыми переходами. Выдвинуто предположение о наличии в диапазоне температур 100-200 К ям на температурных зависимостях теплопроводностей алюминия и цинка, образующихся из-за протекания структурных превращений в указанных металлах, или из-за возникновения в них структурных неоднородностей при кристаллизации. Проведены прогностические оценки теплоемкостей сплавов Al60Sn40 и Al95Zn5, полученные с применением правила смешения (в химии ‒ правила получения соединения заданного состава).
Ключевые слова
Об авторе
С. В. ТереховРоссия
ул. Розы Люксембург, д. 72, Донецк, 283048
Терехов Сергей Владимирович — ведущий научный сотрудник, отдел электронных свойств металлов
Список литературы
1. Луц А.Р., Суслина А.А. Алюминий и его сплавы. Самара: Самар. гос. тех. ун-т, 2013. 81 с.
2. Ганиев И.Н., Алиев Ф.А., Одиназода Х.О., Сафаров А.М., Джайлоев Дж.Х. Теплоемкость и термодинамические функции алюминиевого проводникового сплава E-AlMgSi (алдрей), легированного галлием. Известия высших учебных заведений. Материалы электронной техники. 2019; 22(3): 219—227. https://doi.org/10.17073/1609-3577-2019-3-219-227.
3. Ганиев И.Н., Абулаков А.П., Джай-лоев Дж.Х., Якубов У.Ш., Сафаров А.Г., Абулхаев В.Д. Влияние добавок висмута на теплофизические и термодинамические свойства алюминиевого проводникового сплава E-AlMgSi (алдрей). Известия высших учебных заведений. Материалы электронной техники. 2020; 23(1): 86—93. https://doi.org/10.17073/1609-3577-2020-1-86-93
4. Ганиев И.Н., Файзуллоев Р.Дж., Зокиров Ф.Ш., Ганиева Н.И. Температурные зависимости теплоемкости и термодинамических функций алюминиевого проводникового сплава AlTi0.1 со стронцием. Теплофизика высоких температур. 2023; 61(3): 376—381. https://doi.org/10.31857/S0040364423030110.
5. Ганиев И.Н., Рахматуллоева Г.М., Зокиров Ф.Ш., Эшов Б.Б., Аминова Н.А., Худойбердизода С.У. Температурная зависимость теплоемкости и изменений термодинамических функций алюминиевого проводникового сплава AlTi0.1 с натрием. Вестник Кузбасского государственного технического университета. 2024; 1: 34—42. https://doi.org/10.26730/1999-4125-2024-1-34-42.
6. Palm M., Zhang L., Stein F., Sauthoff G. Phases and phase equilibria in the Al-rich part of the Al–Ti system above 900 °C. J. Intermetallics. 2002; 10(6): 523—540. doi:10.1016/S0966-9795 (02)00022-5.
7. Ганиев И.Н., Рахимов М.Р., Отаджонов С. Э., Исмоилова М.Х., Худойбердизода С.У. Влияние лития на температурную зависимость теплоемкости и изменение термодинамических функций сплава АК1 на основе особо чистого алюминия. Вопросы материаловедения. 2023; 4 (116): 42—49. https://doi.org/10.22349/1994-6716-2023-116-4-42-49.
8. Ганиев И.Н., Шарипова Х.Я., Одиназода Х.О., Иброхимов Н.Ф., Ганиева Н.И. Теплофизические свойства и термодинамические функции алюминиево-магниевого сплава АМг2 с индием. Вестник Магнитогорского государственного технического университета им. Г.И. Носова. 2019; 17(4): 34—43. https://doi.org/10.18503/1995-2732-2019-17-4-34-43.
9. Золоторевский В.С., Белов Н.А. Металловедение литейных алюминиевых сплавов. М.: МИСиС, 2005. 376 с.
10. Абдукадырова И.Х., Байтелесов С. А. Температурная и дозовая зависимость теплофизических свойств некоторых конструкционных алюминиевых сплавов. Меж-дународный научный журнал "Альтернативная энергетика и экология". 2011; 1(93): 89—95.
11. Низомов З., Мирзоев Ф.М., Акрамов М.Б., Саидов Р.Х. Температурная зависимость теплофизических свойств алюминия марки А5. Доклады академии наук республики Таджикистан. 2014; 57(2): 140—144.
12. Ростовцев Р.Н., Ростовцев Г.Р. Структурные и термодинамические характеристики сплавов системы Al-Zn. Международный научно-исследовательский журнал. 2024; 7(145): 1—8. https://doi.org/10.60 797/IRJ.2024.145.40.
13. Ганиев И.Н., Сафаров А.Г., Асоев М. Дж., Якубов У.Ш., Кабутов К. Температурная зависимость теплофизических свойств и термодинамических функций сплавов системы Al-Sn. Вестник Сибирского государственного индустриального университета. 2021; 1(35): 35—41.
14. Берман Р. Теплопроводность твердых тел. М.: Мир, 1979. 286 с.
15. Abed E.J. Study of solidification and mechanical properties of Al–Sn casting alloys. Asian Trans. Eng. 2012. V. 2. P. 89—98.
16. Русин Н.М., Скоренцев А.Л. Спекание как метод получения прочных композитов Al-Sn с большим содержанием второй фазы. Известия вузов. Порошковая металлургия и функциональные покрытия 2017; 1: 20—28. https://dx.doi.org/10.17073/1997-308X-2017-1-20-28.
17. Rusin N.M., Skorentsev A.L., Kolubaev E.A. Effect of equal channel angular pressing on mechanical and tribological properties of sintered Al–Sn composites. J. Mater. Eng. Perf. 2020; 29: 1955—1963.
18. Русин Н.М., Скоренцев А.Л., Акимов К.О. Сплав Al-40Sn, полученный методом селективного лазерного сплавления смеси элементарных порошков. Физика металлов и металловедение. 2023; 124(9): 846 —853. https://dx.doi.org/10.31857/S0015323023600818.
19. Коржавый П.А., Смирнова Е.А., Эйбельман И.А., Абрикосов И.А., Рубан А.В., Векилов Ю.Х. Природа изоструктурного спинодального распада в системе Al–Zn. Физика твердого тела. 1997; 39(4): 593—596.
20. Камболов Д.А. Поверхностные свойства расплавов на основе свинца, цинка, олова и образование микро(нано)фаз при их взаимодействии с медью, алюминием и специальными сталями / Дисс. … канд. техн. наук. Нальчик: Северо-Кавказский горно-металлургический институт (государственный технологический университет). 2014. 138 с.
21. Новицкий Л.А., Кожевников И.Г. Теплофизические свойства материалов при низких температурах. Справочник. М.: Машиностроение, 1975. 216 с.
22. Зиновьев В.Е. Теплофизические свойства металлов при высоких температурах. М.: Металлургия, 1989. 384 с.
23. Лариков Л.Н., Юрченко Ю.Ф. Структура и свойства металлов и сплавов. Тепловые свойства металлов и сплавов. Справочник. Киев: Наукова думка, 1985. 437 с.
24. Физические величины. Справочник / Под ред. И.С. Григорьева, Е.3. Мейлихова. М.: Энергоатомиздат, 1991. 1232 с.
25. Зиновьев В.Е. Кинетические свойства металлов при высоких температурах. Справочник. М.: Металлургия, 1984. 200 с.
26. Свойства элементов. Справочник. М.Е. Дриц (ред.). М.: Металлургия, 1985. 672 с.
27. Новикова С.И. Тепловое расширение твердых тел. М.: Наука, 1974. 292 с.
28. Терехов С.В. Термодинамическая модель размытого фазового перехода в металлическом стекле Fe40Ni40P14B6. Физика и техника высоких давлений. 2018; 28(1): 54 —61.
29. Терехов С.В. Тепловые свойства вещества в рамках модели двухфазной системы. Физика твердого тела. 2022; 64(8): 1077—1083. doi:10.21883/FTT.2022.08.52710.352.
30. Кубо Р. Термодинамика. М.: Мир, 1970. 304 с.
31. Киттель Ч. Введение в физику твердого тела. М.: Наука, 1978. 791 с.
32. Терехов С.В. Расчет базисной линии теплоемкости вещества в модели двухфазной области при отсутствии фазовых и других переходов. Неорганические материалы. 2023; 59(4): 468—472. doi:10.31857/S0002 337X23040127.
33. Терехов С.В. Теплоемкости и коэффициенты теплового расширения металлов триады железа. Конденсированные среды и межфазные границы. 2023; 25(3): 406—414. https://doi.org/10.17308/kcmf.2023.25/11265.
34. Терехов С.В. Теплофизические свойства металлов в квазидвухфазной модели. Физика металлов и металловедение. 2023; 124(12): 1261—1270. doi:10.31857/S0015323023601666.
35. Терехов С.В. Особенности на графиках тепловых характеристик металлов при отсутствии и наличии фазовых переходов. Физика твердого тела. 2024; 66(7): 1144—1149. doi:10.61011/FTT.2024.07.58386.396.
36. Епифанов Г.И. Физика твердого тела. М.: Высшая школа, 1977. С. 26.
37. Ягодин Д.А. Исследование структурной неоднородности расплавов Ga-Bi и Pd-Si методами акустометрии и гамма-денситометрии. Автореф. дисс. … канд. физ.-мат. наук. Екатеринбург: Уральский государственный педагогический университет, 2007. 23 с.
38. Шелудяк Ю.Е., Кашпоров Л.Я., Малинин Л.А., Цалков В.Н. Теплофизические свойства компонентов горючих систем. Справочник под ред. Н.А. Силина. М.: НПО «Информация и технико-экономические исследования», 1992. 184 с.
39. Терехов С.В. Прогнозирование теплофизических свойств аморфных сплавов никеля Ni2B, Ni44Nb56, Ni62Nb38 по данным о компонентах. Расплавы. 2024; 4: 351—364. doi:10.31857 /S0235 010624040011.
40. Никитин В.И., Никитин К.В. Развитие и применение явления структурной наследственности в алюминиевых сплавах. Журнал СФУ. Техника и технологии. 2014; 7(4): 424—429. https://elib.sfu-kras.ru/handle/ 2311/13236.
41. Попель П.С., Сидоров В.Е., Бродова И.Г., Кальво-Дальборг М., Дальборг У. Влияние термической обработки исходного расплава на структуру и свойства кристаллических слитков и отливок. Расплавы. 2020; 1: 3—36.
Дополнительные файлы
Рецензия
Для цитирования:
Терехов С.В. Теплофизические свойства алюминия, олова, цинка в конденсированном состоянии. Известия высших учебных заведений. Материалы электронной техники. 2025;28(3). https://doi.org/10.17073/1609-3577j.met202504.643
For citation:
Terekhov S.V. Thermophysical Properyies of Aluminum, Tin and Zinc in the Condensed State. Izvestiya Vysshikh Uchebnykh Zavedenii. Materialy Elektronnoi Tekhniki = Materials of Electronics Engineering. 2025;28(3). https://doi.org/10.17073/1609-3577j.met202504.643
JATS XML






























